Betway·必威(西汉姆联)官方网站-Ultra Platform
集团首页
实训平台
首页
关于我们
betway西汉姆联平台简介
机构设置
现任领导
党群工作
党建动态
组织建设
学习教育
员工党建
妇委会
共青团
工会工作
教师队伍
团队概况
专业团队
诚聘英才
本科教学
本科专业
教学动态
公司产品
学位授权点
导师队伍
招生信息
科学研究
科研概况
科研机构
科研平台
科研成果
团队建设
学科动态
博士点建设
硕士点建设
员工工作
学工动态
学风建设
科技创新
就业信息
对外交流
国内合作
国际交流
ENGLISH
Introduction
Organization
Faculty and staff
Globe cooperation
导航
首页
关于我们
betway西汉姆联平台简介
机构设置
现任领导
党群工作
党建动态
组织建设
学习教育
员工党建
妇委会
共青团
工会工作
教师队伍
团队概况
专业团队
诚聘英才
本科教学
本科专业
教学动态
公司产品
学位授权点
导师队伍
招生信息
科学研究
科研概况
科研机构
科研平台
科研成果
团队建设
学科动态
博士点建设
硕士点建设
员工工作
学工动态
学风建设
科技创新
就业信息
对外交流
国内合作
国际交流
ENGLISH
Introduction
Organization
Faculty and staff
Globe cooperation
公司产品
学位授权点
|
导师队伍
|
招生信息
|
招生信息
首页
公司产品
招生信息
正文
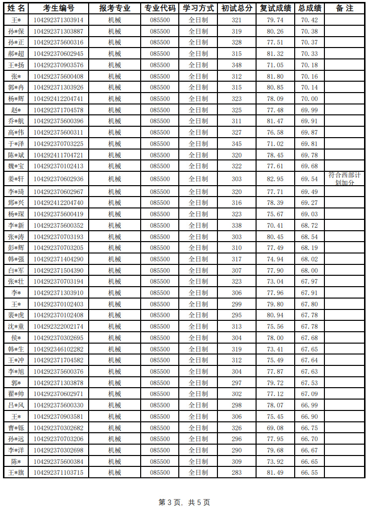
2022年硕士研究生一志愿复试考生成绩表
发布人:机汽公司
时间:2022-03-31
浏览:
上一页
[1]
[2]
[3]
[4]
[5]
下一页